现代琴弦并不理想。它们僵硬、处于张力之下,并且它们的行为与古典琴格间距的平均律假设有很大偏差。
在 Belforti,我们设计了一种解决方案,可在不影响美观或可演奏性的前提下提供毫不妥协的音准。
完美的问题
平均律是基于理想琴弦——完全柔韧,没有刚性或拉伸。但真实的琴弦会弯曲、拉伸和反弹。
结果呢?琴枕处的音符偏高,琴桥处的音符偏低,并且每个品格都存在调音妥协。
关键因素:
- 琴颈刚性会扭曲高音音准
- 靠近琴枕的拉伸会使较低的品格音调升高
- 较高的弦距或激进的设置会加剧这两种情况
我们的三重解决方案

补偿琴枕
它改变了什么
每个琴弦的弦枕槽都是单独移动的
其工作原理
由于指板拉伸,减少了第一把位和弦的尖锐度
*从2025年初开始,我们所有的型号都将配备数控补偿琴枕。旧型号可以进行改造

独立弦鞍间距
它改变了什么
有效弦长根据每根弦定制
其工作原理
纠正由硬度和张力引起的高品丝误差

微调琴格音阶
它改变了什么
为每根琴弦的所有品丝增加一个统一的偏移量 κ
其工作原理
将整个指板与真实世界的琴弦行为对齐——无需波浪状的品丝
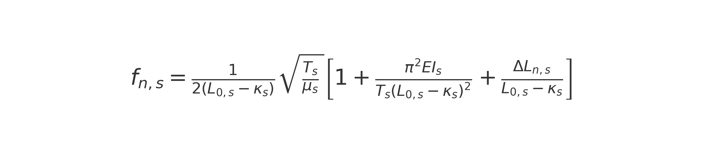
引擎盖下:它是如何工作的
每一套 Belforti Intonation System™ 的构建都始于了解您选择的琴弦的物理特性。我们使用特定于琴弦的模型来计算每根琴弦的单个、不可见的偏移:

地点:
- L₀ 是有效弦长
- κₛ 是我们求解的向琴枕方向的品丝偏移量
- EIₛ 是弯曲刚度
- ΔLₙ 是由弦距引起的琴弦拉伸
然后,我们使用特定于琴弦的公式来最大限度地减少所有品丝上的总音高误差,从而使我们能够保持笔直的品丝,并在所有琴弦的所有品丝上提供 ±2 音分的音准精度。
这对您意味着什么
- 无波浪品丝 – 无视觉干扰或手感改变
- 无需学习曲线 – 演奏者可以使用熟悉的指法和技巧
- 真正的调制 – 保持在 12-TET 中,不像 True Temperament 系统
- ±2 音分精度 – 与人耳可检测到的精度一样高
致求知者
该系统建立在先进的声学研究之上:
- Piñero et al., 弦乐器音调和补偿, 2010
- Garbi,调律良好的型号,JASA 156 (2024)
- Guarín-Zapata, Fretboard Design with the Stiff String Equation, arXiv 2021




