Las cuerdas modernas no son ideales. Son rígidas, están bajo tensión y su comportamiento se desvía significativamente de los supuestos de temperamento igual de la separación clásica de los trastes.
En Belforti, hemos diseñado una solución que ofrece una afinación perfecta sin comprometer la estética ni la facilidad de ejecución.
El problema de la perfección
El temperamento igual se basa en cuerdas ideales: perfectamente flexibles, sin rigidez ni estiramiento. Pero las cuerdas reales se doblan, se estiran y se resisten.
¿El resultado? Notas altas en la cejuela, notas bajas hacia el puente y un compromiso de afinación en cada traste.
Factores clave:
- La rigidez distorsiona el tono en los registros superiores
- El estiramiento cerca de la cejuela eleva los trastes inferiores
- Una acción alta o configuraciones agresivas exacerban ambos
Nuestra solución de tres frentes

Cejuela compensada
Lo que cambia
La ranura de la cejuela de cada cuerda se mueve individualmente
Por qué funciona
Reduce la elevación en los acordes de primera posición debido al estiramiento al tocar
*a partir de principios de 2025, todos nuestros modelos estarán equipados con una cejuela compensada CNC. Los modelos más antiguos se pueden reequipar

Ajustes independientes de selleta
Lo que cambia
La longitud de escala se adapta a cada cuerda
Por qué funciona
Corrige los errores en los trastes agudos causados por la rigidez y la tensión

Escala de Trastes Micro-Ajustada
Lo que cambia
Añade un offset uniforme κ a todos los trastes por cuerda
Por qué funciona
Alinea todo el diapasón al comportamiento real de la cuerda, sin necesidad de trastes ondulados
Entre bastidores: Cómo funciona
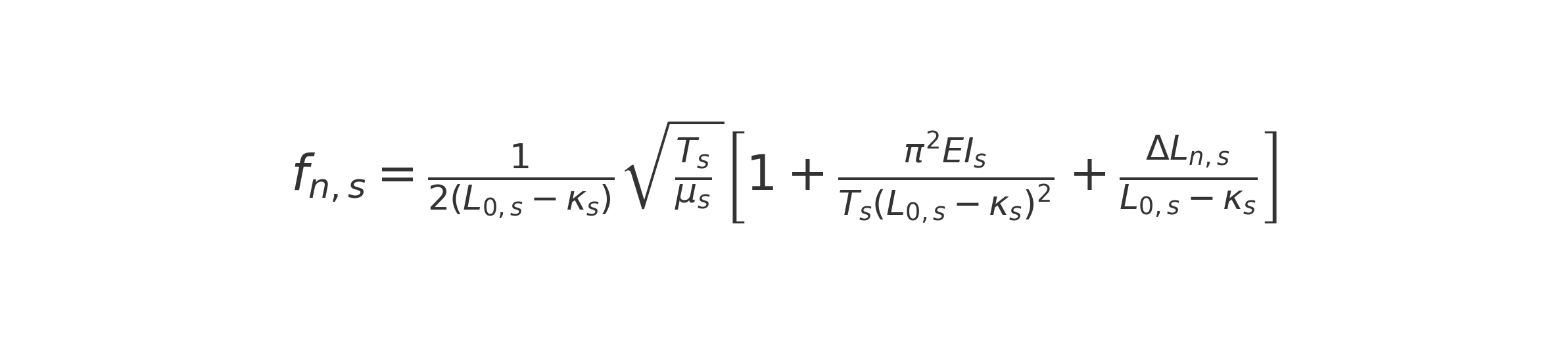
Cada construcción del Sistema de Entonación Belforti Intonation System™ comienza por comprender la física del juego de cuerdas elegido. Utilizamos un modelo específico para cada cuerda para calcular un único offset invisible por cuerda:

Donde:
- L₀ es la longitud de escala
- κₛ es el offset del traste hacia la cejuela que resolvemos
- EIₛ es la rigidez a la flexión
- ΔLₙ es el estiramiento de la cuerda debido a la acción
Luego minimizamos el error total de afinación en todos los trastes utilizando una fórmula específica para cada cuerda, lo que nos permite mantener los trastes rectos y ofrecer una precisión de entonación de ±2 cents, en todas las cuerdas y en todos los trastes.
Lo que esto significa para usted
- Sin trastes ondulados – Sin distracciones visuales ni sensación alterada
- Sin curva de aprendizaje – Los músicos utilizan digitaciones y técnicas familiares
- Modulación verdadera – Se mantiene en 12-TET, a diferencia de los sistemas True Temperament
- Precisión de ±2 cents – Tan preciso como pueden detectar los oídos humanos
Para los curiosos
Este sistema se basa en investigaciones acústicas avanzadas:
- Piñero et al., Intonation and Compensation of Fretted String Instruments, 2010
- Garbi, Well-Tempered Model, JASA 156 (2024)
- Guarín-Zapata, Fretboard Design with the Stiff String Equation, arXiv 2021




