Les cordes modernes ne sont pas idéales. Elles sont rigides, sous tension, et leur comportement s'écarte considérablement des hypothèses de tempérament égal de l'espacement classique des frettes.
Chez Belforti, nous avons conçu une solution qui offre une intonation sans compromis, sans compromettre l'esthétique ou la jouabilité.
Le problème de la perfection
Le tempérament égal est basé sur des cordes idéales—parfaitement flexibles, sans rigidité ni étirement. Mais les cordes réelles se plient, s'étirent et résistent.
Le résultat ? Des notes dièses au niveau du sillet de tête, des notes bémols vers le chevalet, et un compromis d'accordage à chaque frette.
Facteurs clés :
- La rigidité fausse la hauteur dans les registres supérieurs
- L'étirement près du sillet de tête rend les frettes inférieures plus aiguës
- Une action haute ou des réglages agressifs exacerbent les deux
Notre solution à trois volets

Sillet de tête compensé
Ce que ça change
La fente du sillet de tête de chaque corde est déplacée individuellement
Pourquoi ça marche
Réduit la netteté des accords en première position due à l'étirement du frettage
*à partir du début de 2025, tous nos modèles sont équipés d'un sillet de tête compensé usiné CNC. Les modèles plus anciens peuvent être mis à niveau

Reculs de sillet indépendants
Ce que ça change
Le diapason est adapté à chaque corde
Pourquoi ça marche
Corrige les erreurs de frettes aiguës causées par la rigidité et la tension

Diapason à compensation micro-ajustée
Ce que ça change
Ajoute un décalage uniforme κ à toutes les frettes par corde
Pourquoi ça marche
Alignement complet de la touche avec le comportement réel des cordes, sans frettes ondulées.
Dans le détail : Comment ça marche
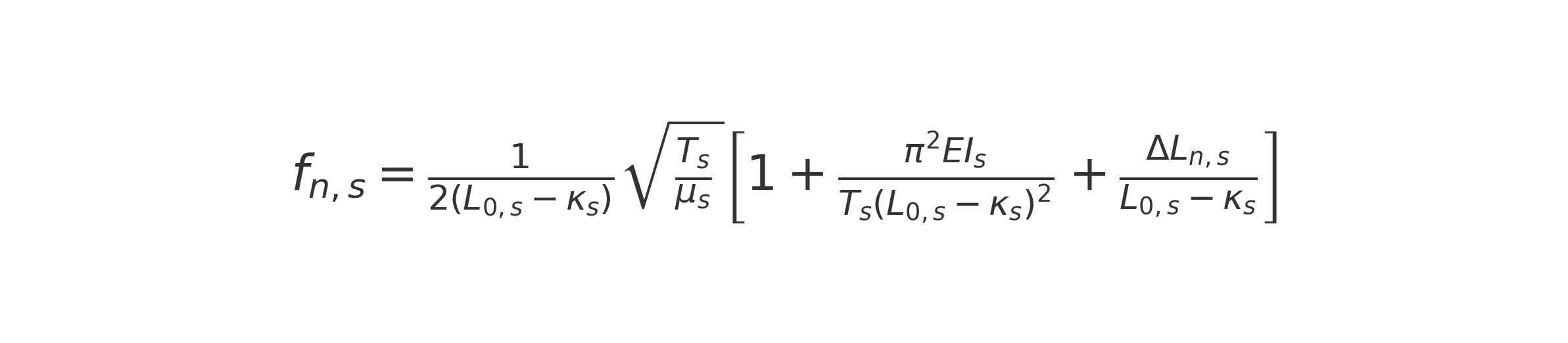
Chaque construction du Belforti Intonation System™ commence par la compréhension de la physique de votre jeu de cordes. Nous utilisons un modèle spécifique à chaque corde pour calculer un décalage unique et invisible par corde :

Où :
- L₀ est le diapason
- κₛ est le décalage de frette vers le sillet que nous calculons
- EIₛ est la rigidité en flexion
- ΔLₙ est l'étirement de la corde dû à l'action
Nous minimisons ensuite l'erreur de hauteur totale sur toutes les frettes à l'aide d'une formule spécifique à chaque corde, ce qui nous permet de conserver des frettes droites et d'obtenir une précision d'intonation de ±2 cents, sur toutes les cordes, à toutes les frettes.
Ce que cela signifie pour vous
- Pas de frettes ondulées – Pas de distractions visuelles ni de sensation altérée
- Pas de courbe d'apprentissage – Les musiciens utilisent des doigtés et des techniques familiers
- Modulation réelle – Reste en 12-TET, contrairement aux systèmes True Temperament
- Précision de ±2 cents – Aussi précis que l'oreille humaine peut le détecter
Pour les curieux
Ce système s'appuie sur des recherches acoustiques avancées :
- Piñero et al., Intonation and Compensation of Fretted String Instruments, 2010
- Garbi, Well-Tempered Model, JASA 156 (2024)
- Guarín-Zapata, Fretboard Design with the Stiff String Equation, arXiv 2021




