現代の弦は理想的ではありません。弦は硬く、張力がかかっており、その挙動は、古典的なフレット間隔の平均律の前提から大きく逸脱します。
Belfortiでは、美観や演奏性を損なうことなく、妥協のないイントネーションを実現するソリューションを開発しました。
完璧さの問題点
平均律は、理想的な弦、つまり、完全に柔軟で、剛性や伸縮性のない弦に基づいています。しかし、実際の弦は曲がり、伸び、反発します。
その結果、ナット付近では音がシャープになり、ブリッジに向かって音がフラットになり、すべてのフレットでチューニングの妥協が生じます。
主な要因:
- 剛性は高音域でのピッチを歪めます
- ナット付近での伸縮は、ローフレットをシャープにします
- 弦高が高い、またはアグレッシブなセットアップは、両方を悪化させます
3つの柱によるソリューション

補正ナット
何が変わるか
各弦のナット溝が個別に移動されます
なぜ有効なのか
フレットを押さえることによるストレッチによって、ファーストポジションのコードのシャープさを軽減します。
*2025年初頭から、すべてのモデルにCNC加工された補正ナットが取り付けられます。古いモデルは、後付けが可能です

独立したサドルオフセット
何が変わるか
スケール長は弦ごとに調整されます
なぜ有効なのか
剛性と張力によって引き起こされるハイフレットのエラーを修正します

マイクロ調整されたフレットスケール
何が変わるか
すべてのフレットに、弦ごとに均一なオフセットκを追加します
なぜ有効なのか
フレットボード全体を実際の弦の挙動に合わせます。波状のフレットは不要です
内部構造:仕組み
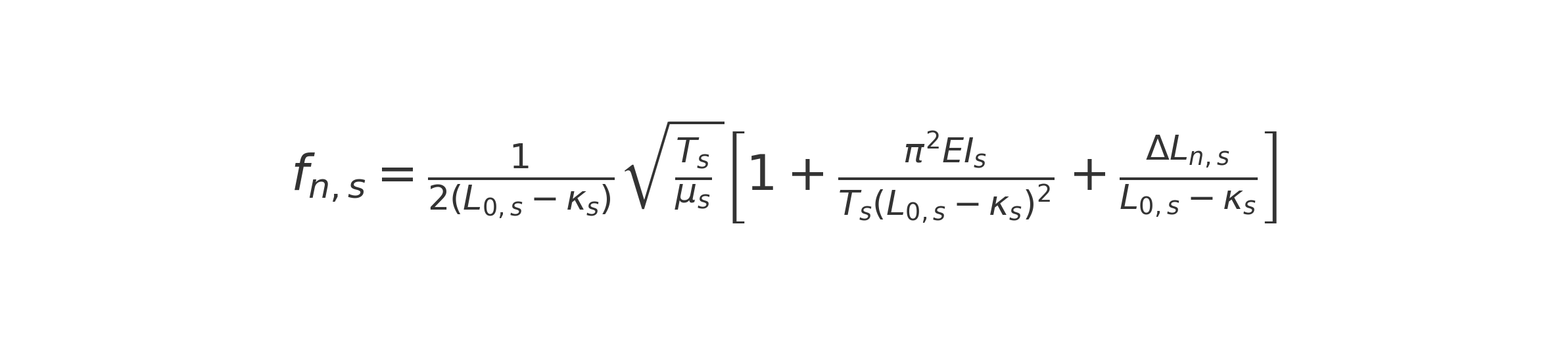
すべてのBelforti Intonation System™の製作は、まずお客様が選択された弦の物理特性を理解することから始まります。弦固有のモデルを使用して、各弦に対して単一の、目に見えないオフセットを計算します。

ここで:
- L₀ はスケール長
- κₛ は、私たちが求めるナット側のフレットオフセット
- EIₛ は曲げ剛性
- ΔLₙ は弦高による弦の伸び
次に、弦固有の計算式を用いて、すべてのフレットにおけるピッチ誤差の合計を最小限に抑えます。これにより、フレットを直線に保ちながら、すべての弦、すべてのフレットで±2セントのイントネーション精度を実現します。
お客様にとっての意味
- 波状フレットなし – 視覚的な違和感や演奏感の変化なし
- 学習コストなし – プレイヤーは使い慣れた運指とテクニックを使用可能
- 真のモジュレーション – True Temperamentシステムとは異なり、12平均律を維持
- ±2セントの精度 – 人間の耳が検知できる精度
より詳しく知りたい方へ
このシステムは、高度な音響研究に基づいています。
- Piñero et al., Intonation and Compensation of Fretted String Instruments, 2010
- Garbi, Well-Tempered Model, JASA 156 (2024)
- Guarín-Zapata, Fretboard Design with the Stiff String Equation, arXiv 2021