Modern strings are not ideal. They're stiff, under tension, and their behavior deviates significantly from the equal-temperament assumptions of classical fret spacing.
At Belforti, we’ve engineered a solution that delivers uncompromising intonation without compromising aesthetics or playability.
The Problem With Perfection
Equal temperament is based on ideal strings—perfectly flexible, with no stiffness or stretching. But real strings bend, stretch, and fight back.
The result ? Sharp notes at the nut, flat notes toward the bridge, and a tuning compromise at every fret.
Key factors:
- Stiffness distorts pitch in upper registers
- Stretching near the nut sharpens lower frets
- High action or aggressive setups exacerbate both
Our Three-Pronged Solution

Compensated Nut
What it changes
Each string’s nut slot is moved individually
Why it works
Reduces sharpness in first-position chords due to fretting stretch
*starting from early 2025 all our models are fitted with a CNC'd compensated nut. Older models can be retrofitted

Independent Saddle Setbacks
What it changes
Scale length is tailored per string
Why it works
Corrects high-fret errors caused by stiffness and tension

Micro-Adjusted Fret Scale
What it changes
Adds a uniform offset κ to all frets per string
Why it works
Aligns entire fretboard to real-world string behavior—no need for wavy frets
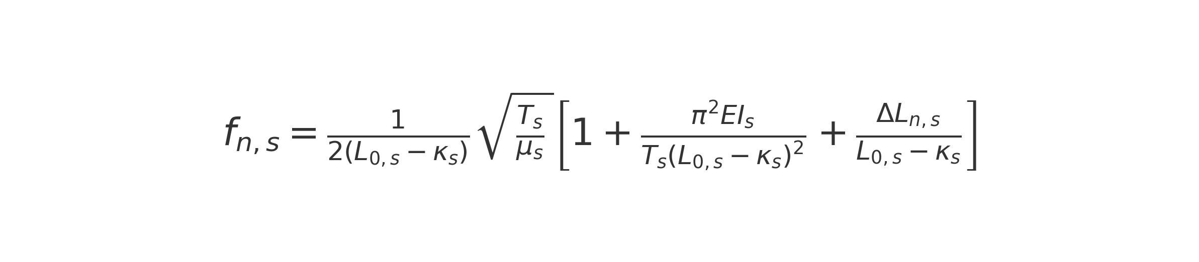
Under the Hood: How It Works
Every Belforti Intonation System™ build starts by understanding the physics of your chosen string set. We use a string-specific model to calculate a single, invisible offset per string:

Where:
- L₀ is scale lengt
- κₛ is the nutward fret offset we solve for
- EIₛ is bending stiffness
- ΔLₙ is string stretch from action
We then minimise the total pitch error across all frets using a string-specific formula, allowing us to keep straight frets and deliver ±2 cents intonation precision—on all strings, at all frets.
What This Means for You
- No Wavy Frets – No visual distractions or altered feel
- No Learning Curve – Players use familiar fingerings and techniques
- True Modulation – Stays in 12-TET, unlike True Temperament systems
- ±2 cents Precision – As accurate as human ears can detect
For the Curious
This system builds on advanced acoustic research:
- Piñero et al., Intonation and Compensation of Fretted String Instruments, 2010
- Garbi, Well-Tempered Model, JASA 156 (2024)
- Guarín-Zapata, Fretboard Design with the Stiff String Equation, arXiv 2021




